Minggu, 16 September 2012

PENGOLAHAN CITRA

Definisi Citra

Citra (image) = gambar pada bidang 2 dimensi.
Citra (ditinjau dari sudut pandang matematis) = fungsi yang kontinu dari intensitas cahaya pada bidang 2 dimensi.
Sumber cahaya menerangi objek, dipantulakan kembali dan ditangkap kembali oleh alat- alat optik = citra.

Definisi Pengolahan Citra

Pengolahan Citra = memproses suatu citra sehingga menghasilkan citra yang sesuai dengan keinginan kita atau kualitasnya menjadi lebih baik.

Di dalam bidang komputer, ada 3 bidang studi yang berkaitan dengan citra. Namun, tujuan ketiganya berbeda, yaitu:
  • Grafika Komputer (Computer Graphic)
  • Pengolahan Citra (Image Processing)
  • Pengenalan Pola (Pattern Recognition/image interpretation)
Operasi Pengolahan Citra
  1. Perbaikan Kualitas Citra (image inhacement)
    Tujuan : Memperbaiki kualitas citra dengan memanipulasi parameter-parameter citra.
  2. Pemugaran Citra  (image restoration)
    Tujuan : Menghilangkan cacat pada citra.
    Perbedaannya dengan perbaikan citra adalah penyebab degradasi citra tidak diketahui.
  3. Pemampatan Citra (image compression)
    Tujuan : Citra direpresentasikan dalam bentuk lebih kompak, sehingga keperluan memori lebih sedikit namun dengan tetap mempertahankan kualitas gambar (misal dari .BMP menjadi .JPG)
  4. Segmentasi Citra (image segmentation)
    Tujuan : Memecah suatu citra ke dalam beberapa segmen dengan suatu kriteria tertentu. Berkaitan erat dengan pengenalan pola.
  5. Analisa Citra (image analysis)
    Tujuan : Menghitung besaran kuantitatif dari citra untuk menghasilkan deskripsinya.
  6. Rekonstruksi citra(Image recontruction)
    Tujuan : membentuk ulang objek dari beberapa citra hasil proyeksi.
Berikut ini penjelasan lebih lanjut tentang operasi Pemampatan Citra

PEMAMPATAN CITRA

Citra direpresentasikan dalam bentuk lebih kompak, sehingga keperluan memori lebih sedikit namun dengan tetap mempertahankan kualitas gambar (misal dari .BMP menjadi .JPG)

Kriteria Pemampatan
  • Waktu pemampatan
  • Kebutuhan memory
  • Kualitas pemampatan (fidelity)
  • Format keluaran

Jenis Pemampatan
  • Pendekatan Statistik
    Melihat frekuensi kemunculan derajat keabuan pixel
  • Pendekatan Ruang
    Melihat hubungan antar pixel yang mempunyai derajat keabuan yang sama pada wilayah dalam citra
  • Pendekatan Kuantisasi
    Mengurangi jumlah derajat keabuan yang tersedia
  • Pendekatan Fraktal
    Kemiripan bagian citra dieksploitasi dengan matriks transformasi
Klasifikasi Metode Pemampatan
  • Metode Lossless
    - menghasilkan citra yang sama dengan citra semula
    - Tidak ada informasi yang hilang
    - Nisbah/ratio pemampatan sangat rendah
      Contoh: metode Huffman
      
  • Metode lossy
    - menghasilkan citra yang hampirsama dengan citra semula
    - Ada informasi yang hilang akibat pemampatan tapi masih bisa ditolerir oleh persepsi mata
    - Nisbah/ratio pemampatan tinggi
      Contoh: JPEG dan Fraktal
Metode Pemampatan Huffman
  1. Urutkan nilai keabuan berdasarkan frekuensi kemunculannya
  2. Gabung dua pohon yang frekuensi kemunculannya paling kecil
  3. Ulangi 2 langkah diatas sampai tersisa satu pohon biner
  4. Beri label 0 untuk pohon sisi kiri dan 1 untuk pohon sisi kanan
  5. Telusuri barisan label sisi dari akar ke daun yang menyatakan kode Huffman
  • Contoh, citra 64x64 dengan 8 derajat keabuan (k)
  • Kode untuk setiap derajat keabuan
  • Ukuran citra sebelum dimampatkan (1 derajat keabuan = 3 bit) adalah 4096x3 bit = 12288 bit
  • Ukuran citra setelah pemampatan
Metode Pemampatan RLE
  • Run Length Encoding
    - Cocok untuk pemampatan citra yang memiliki kelompok pixel berderajat keabuan yang sama
  • Contoh citra 10x10 dengan 8 derajat keabuan

    Pasangan derajat keabuan (p) dan jumlah pixel (q )
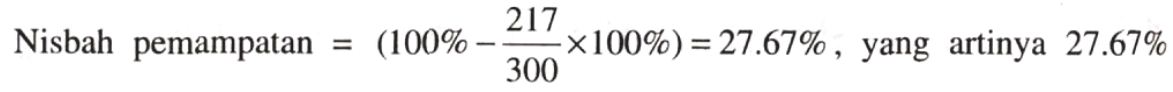
  • Ukuran citra sebelum dimampatkan (1 derajat keabuan = 3 bit) adalah 100 x 3 bit = 300 bit 
  • Ukuran citra setelah pemampatan (run length =4) adalah  (31 x 3) + (31 x 4) bit = 217 bit
Metode Pemampatan Kuantisasi
  • Buat histogram citra yang akan dimampatkan. Pjumlah pixel
  • Identifikasi nbuah kelompok di histogram sedemikian sehingga setiap kelompok mempunyai kira-kira P/npixel
  • Nyatakan setiap kelompok dengan derajat keabuan 0 sampai n-1. Setiap kelompok dikodekan kembali dengan nilai derajat keabuan yang baru
  • Contoh, Citra 5 x 13
  • Akan dimampatkan dengan 4 derajat keabuan (0 -3) atau dengan 2 bit
  • Setelah dimampatkan
  • Ukuran sebelum pemampatan (1 derajat keabuan = 4 bit) adalah 65 x 4 bit = 260 bit
  • Ukuran citra setelah pemampatan(1 derajat keabuan = 2 bit) adalah 65 x 2 bit = 130 bit







Senin, 10 September 2012

Riset Operasi

Riset operasi, atau disebut riset operasional di Eropa, adalah cabang interdisiplin dari matematika terapan dan sains formal yang menggunakan model-model—seperti model matematika,statistika, dan algoritma—untuk mendapatkan nilai optimal atau nyaris optimal pada sebuah masalah yang kompleks. Riset operasi biasanya digunakan untuk mencari nilai maksimal (profit, performa lini perakitan, hasil panen, bandwith dll) atau nilai minimal (kerugian, risiko, biaya, dll) dari sebuah fungsi objektif. Riset operasi bertujuan membantu manajemen mendapatkan tujuannyamelalui proses ilmiah.
Sumber: http://id.wikipedia.org/wiki/Riset_operasi

Rabu, 23 Mei 2012

VPN (Virtual Private Network)



VPN adalah singkatan dari virtual private network, yaitu Sebuah cara aman untuk mengakses local area network yang berada pada jangkauan, dengan menggunakan internet atau jaringan umum lainnya untuk melakukan transmisi data paket secara pribadi, dengan enkripsi Perlu penerapan teknologitertentu agar walaupun menggunakan medium yang umum, tetapi traffic (lalu lintas) antar remote-site tidak dapat disadap dengan mudah, juga tidak memungkinkan pihak lain untuk menyusupkan traffic yang tidak semestinya ke dalam remote-site.
Menurut IETF, Internet Engineering Task Force, VPN is an emulation of [a]
private Wide Area Network(WAN) using shared or public IP facilities, such as the Internet or
private IP backbones.
VPN merupakan suatu bentuk private internet yang melalui public network
(internet), dengan menekankan pada keamanan data dan akses global melalui internet.
Hubungan ini dibangun melalui suatu tunnel (terowongan) virtual antara 2 node.
adalah suatu jaringan privat (biasanya untuk instansi atau kelompok tertentu) di dalam jaringan internet (publik), dimana jaringan privat ini seolah-olah sedang mengakses jaringan lokalnya tapi menggunakan jaringan public
VPN adalah sebuah koneksi Virtual yang bersifat privat mengapa disebut demikian karena pada dasarnya jaringan ini tidak ada secara fisik hanya berupa jaringan virtual dan mengapa disebut privat karena jaringan ini merupakan jaringan yang sifatnya privat yang tidak semua orang bisa mengaksesnya. VPN Menghubungkan PC dengan jaringan publik atau internet namun sifatnya privat, karena bersifat privat maka tidak semua orang bisa terkoneksi ke jaringan ini dan mengaksesnya. Oleh karena itu diperlukan keamanan data
Konsep kerja VPN pada dasarnya VPN Membutuhkan sebuah server yang berfungsi sebagai penghubung antar PC. Jika digambarkan kira-kira seperti ini
internet <—> VPN Server <—-> VPN Client <—-> Client
bila digunakan untuk menghubungkan 2 komputer secara private dengan jaringan internet maka seperti ini: Komputer A <—> VPN Clinet <—> Internet <—> VPN Server <—> VPN Client <—> Komputer B
Jadi semua koneksi diatur oleh VPN Server sehingga dibutuhkan kemampuan VPN Server yang memadai agar koneksinya bisa lancar.
lalu apa sih yang dilakukan VPN ini?? pertama-tama VPN Server harus dikonfigurasi terlebih dahulu kemudian di client harus diinstall program VPN baru setelah itu bisa dikoneksikan. VPN di sisi client nanti akan membuat semacam koneksi virtual jadi nanti akan muncul VPN adater network semacam network adapter (Lan card) tetapi virtual. Tugas dari VPN Client ini adalah melakukan authentifikasi dan enkripsi/dekripsi.
Nah setelah terhubung maka nanti ketika Client mengakses data katakan client ingin membuka situs www.google.com. Request ini sebelum dikirimkan ke VPN server terlebih dahulu dienkripsi oleh VPN Client misal dienkripsi dengan rumus A sehingga request datanya akan berisi kode-kode. Setelah sampai ke server VPN oleh server data ini di dekrip dengan rumus A, karena sebelumnya sudah dikonfigurasi antara server dengan client maka server akan memiliki algorith yang sama untuk membaca sebuah enkripsi. Begitu juga sebaliknya dari server ke Client.
Keamanan Dengan konsep demikian maka jaringan VPN ini menawarkan keamanan dan untraceable, tidak dapat terdeteksi sehingga IP kita tidak diketahui karena yang digunakan adalah IP Public milik VPN server. Dengan ada enkripsi dan dekripsi maka data yang lewat jaringan internet ini tidak dapat diakses oleh orang lain bahkan oleh client lain yang terhubung ke server VPN yang sama sekalipun. Karena kunci untuk membuka enkripsinya hanya diketahui oleh server VPN dan Client yang terhubung. Enkripsi dan dekripsi menyebabkan data tidak dapat dimodifikasi dan dibaca sehingga keamananya terjamin. Untuk menjebol data si pembajak data harus melalukan proses dekripsi tentunya untuk mencari rumus yang tepat dibutuhkan waktu yang sangat lama sehingga biasa menggunakan super computing untuk menjebol dan tentunya tidak semua orang memiliki PC dengan kemampuan super ini dan prosesnya rumit dan memakan waktu lama, agen-agen FBI atau CIA biasanya punya komputer semacam ini untuk membaca data-data rahasia yang dikirim melaui VPN.
Apakah Koneksi menggunakan VPN itu lebih cepat????? Hal ini tergantung dari koneksi antara client dengan VPN server karena proses data dilakukan dari VPN otomatis semua data yang masuk ke komputer kita dari jaringan internet akan masuk terlebih dahulu ke VPN server sehingga bila koneksi client ke VPN server bagus maka koneksi juga akan jadi lebih cepat. Biasanya yang terjadi adalah penurunan kecepatan menjadi sedikit lebih lambat karena harus melewati 2 jalur terlebih dahulu temasuk proses enkripsi. VPN ini bisa digunakan untuk mempercepat koneksi luar (internasional) bagaimana caranya???
misal kita punya koneksi lokal (IIX) sebesar 1mbps dan koneksi luar 384kbps kita bisa menggunakan VPN agar koneksi internasional menjadi sama dengan koneksi lokal 1mbps. Cara dengan menggunakan VPN Lokal yang diroute ke VPN Luar
internet <—->VPN Luar<—>VPN lokal <—>Client
mengapa model jaringan ini bisa lebih cepat sebab akses ke jaringan luar dilakukan oleh VPN luar lalu kemudian diteruskan oleh VPN lokal nah kita mengakses ke jaringan lokal yang berarti kecepatan aksesnya sebesar 1mbps. Tentunya diperlukan VPN dengan bandwith besar agar koneksinya bisa lancar.

KRIPTOGRAFI


1. Pengertian Kriptografi
Kriptografi berasal dari bahasa Yunani, crypto dan graphia. Crypto berarti secret (rahasia) dan  graphia  berarti writing (tulisan). Menurut terminologinya, kriptografi adalah ilmu dan seni untuk menjaga keamanan pesan ketika pesan dikirim dari suatu tempat ke tempat yang lain. Dalam perkembangannya,  kriptografi  juga digunakan untuk mengidentifikasi pengiriman pesan dan tanda tangan digital dan keaslian pesan
dengan sidik jari digital. (Dony Ariyus, 2005) Di dalam kriptografi kita akan sering menemukan berbagai istilah atau terminology. Beberapa istilah yang harus diketahui yaitu :

1. Pesan, plaintext, dan cipherteks
Pesan (message) adalah data atau informasi yang dapat dibaca dan dimengerti maknanya. Nama lain untuk pesan adalah (plaintext) atau teks jelas (cleartext). Agar pesan tidak dapat dimengerti maknanya oleh pihak lain yang tidak berkepentingan, maka pesan perlu disandikan kebentuk lain yang tidak dapat dipahami. Bentuk pesan yang tersandi disebut cipherteks (ciphertext) atau kriptogram (cryptogram). Cipherteks harus dapat ditransformasikan kembali menjadi plaintext semula agar dapat diterima dan bisa dibaca.

2. Pengirim dan penerima
Komunikasi data melibatkan pertukaran pesan antara dua entitas. Pengirim (sender) adalah entitas yang mengirim pesan kepada entitas lainnya. Penerima (receiver) adalah entitas yang menerima pesan. Pengirim tentu menginginkan pesan dapat dikirm secara aman, yaitu pengirim yakin bahwa pihak lain tidak dapat membaca isi pesan yang dikirim. Solusinya adalah dengan cara menyandikan pesan menjadi cipherteks.

3. Enkripsi dan dekripsi
Proses menyandikan plainteks menjadi cipherteks disebut enkripsi (encryption) atau  enciphering. Sedangkan proses mengembalikan cipherteks menjadi plainteks disebut dekripsi (decryption) atau deciphering.

4. Cipher dan kunci
Algoritma kriptogarfi disebut juga cipher, yaitu aturan untuk enkripsi dan dekripsi, atau fungsi matematika yang digunakan untuk enkripsi dan dekripsi. Beberapa cipher memerlukan algoritma yang berbeda
untuk enciphering dan deciphering. Konsep matematis yang mendasari algoritma kriptografi adalah relasi
antara dua buah himpunan yang berisi elemen – elemen plainteks dan himpunan yang berisi cipherteks. Enkripsi dan dekripsi merupakan fungsi yang memetakan elemen-  elemen antara dua himpunan tersebut. Misalkan  P  menyatakan plainteks dan  C menyatakan cipherteks, maka fungsi enkripsi E memetakan P ke C.
E(P) = C
Dan fungsi dekripsi D memetakan C ke P
D(C) = P
Karena proses enkripsi kemudian dekripsi mengembalikan pesan ke pesan semula, maka kesamaan berikut harus benar,
D(E(P)) = P
Kriptografi mengatasi masalah keamanan data dengan menggunakan kunci, yang dalam hal ini algoritma tidak dirahasiakan lagi, tetapi kunci harus tetap dijaga kerahasiaannya. Kunci (key) adalah parameter yang digunakan untuk transformasi enciphering  dan deciphering. Kunci biasanya berupa string atau deretan bilangan. Dengan menggunakan K, maka fungsi enkripsi dan dekripsi dapat ditulis sebagai :
E(P) = C dan DK (C) = P
Dan kedua fungsi ini memenuhi
DK (EK(P)) = P
Keterangan :
P  = plainteks
C  = cipherteks
K  = kunci
EK  = proses enkripsi menggunakan kunci K
DK  = proses dekripsi menggunakan kunci K
Skema enkripsi dengan menggunakan kunci diperlihatkan pada gambar dibawah ini:


5. Sistem kriptografi
kriptografi membentuk sebuah sistem yang dinamakan sistem Kriptografi. Sistem kriptografi(cryptosystem) adalah kumpulan yang terdiri dari algoritma kriptografi, semua plainteks dan cipherteks yang mungkin, dan kunci. Di dalam kriptografi, cipher hanyalah salah satu komponen saja.

6. Penyadap
penyadap  (eavesdropper) adalah orang yang mencoba menangkap pesan selama ditransmisikan. Tujuan penyadap adalah untuk mendapatkan informasi sebanyak -  banyaknya mengenai sistem kriptografi yang digunakan untuk berkomunikasi dengan maksud untuk memecahkan cipherteks. Nama lain penyadap :  enemy, adversary, intruder, interceptor, bad guy.
7. Kriptanalisis dan kriptologi
Kriptografi berkembang sedemikian rupa sehingga melahirkanbidang yang berlawanan yaitu kriptanalisis. Kriptanalisis  ( cryptanalysis) adalah ilmu dan seni untuk memecahkan cipherteks menjadi plainteks tanpa mengetahui kunci yang digunakan. Pelakunya disebut kriptanalis. Jika seorang kriptografer (cryptographer)
mentransformasikan plainteks menjadi cipherteks dengan suatu algoritma dan kunci maka sebaliknya seorang kriptanalis berusaha untuk memecahkan cipherteks tersebut untuk menemukan plainteks
atau kunci. Kriptologi (cryptology) adalah studi mengenai kriptografi dan kriptanalisis.

2. Tujuan Kriptografi
Ada empat tujuan mendasar dari ilmu kriptografi ini yang juga merupakan aspek keamanan informasi yaitu :

1. Kerahasiaan (confidentiality) 
Adalah layanan yang ditujukan untuk menjaga agar pesan tidak dapat dibaca oleh pihak – pihak yang tidak berhak. Di dalam kriptografi layanan ini direalisasikan dengan menyandikan plainteks menjadi cipherteks. Misalnya pesan “harap datang pukul 8” disandikan menjadi “trxC#45motyptre!%”. istilah lain yang senada dengan confidentiality adalah secrecy dan privacy. 
2. Integritas data (data integrity) 
Adalah layanan yang menjamin bahwa pesan masih asli/utuh atau belum pernah dimanipulasi selama pengiriman. Dengan kata lain, aspek keamanan ini dapat diungkapkan sebagai pertanyaan: “ apakah pesan yang diterima masih asli atau tidak mengalami perubahan 
3. Otentikasi (authentication) 
Adalah layanan yang berhubungan dengan identifikasi, baik mengidentifikasi kebenaran pihak – pihak yang berkomunikasi ( user autehentication). Dua pihak yang saling berkomunikasi harus dapat mengotentikasi satu sama lain sehingga ia dapat memastikan sumber pesan.
4. Nirpenyangkalan (non-repudiation)
Adalah layanan untuk menjaga entitas yang berkomunikasi melakukan penyangkalan, yaitu pengirim pesan menyangkal melakukan pengiriman atau penerima pesan menyangkal telah menerima pesan.


3. Jenis - Jenis Serangan
Serangan ( “serangan kriptanalisis”) terhadap kriptografi dapat dikelompokkan dengan beberapa cara :
1. Berdasarkan keterlibatan penyerang dalam komunikasi, serangan dapat dibagi atas dua macam, yaitu :
a. Serangan pasif (passive attack) Pada serangan ini, penyerang tidak terlibat dalam komunikasi antara pengirim dan penerima, namun penyerang menyadap semua pertukaran pesan antara kedua entitas tersebut. Tujuannaya adalah untuk mendapatkan sebanyak mungkin informasi yang digunakan untuk kriptanalisis. Beberapa metode penyadapan antara lain :
  1. wiretapping : penyadap mencegat data yang ditransmisikan pada saluran kabel komunikasi dengan menggunakan sambungan perangkat keras.
  2. electromagnetic eavesdropping  : penyadap mencegat data yang ditrasnmisikan melalui saluran wireless, misalnya radio dan microwave.
  3. acoustic eavesdropping : menangkap gelombang suara yang dihasilkan oleh suara manusia.
b. Serangan aktif (active attack)Pada jenis serangan ini, penyerang mengintervensi komunikasi dan ikut mempengaruhi sistem untuk keuntungan dirinya. Misalnya penyerang mengubah aliran pesan seperti menghapus sebagian cipherteks , mengubah cipherteks, menyisipkan potongan cipherteks palsu, me-replay pesan lama, mengubah informasi yang tersimpan, dan sebagainya.   
2. Berdasarkan banyaknya informasi yang diketahui oleh kriptanalis, maka serangan dapat dikelompokkan menjadi lima jenis, yaitu:
1. Ciphertext-only attack
Ini adalah jenis serangan yang paling umum namun paling sulit, karena informasi yang tersedia hanyalah cipherteks saja. Kriptanalis memiliki beberapa cipherteks dari beberapa pesan, semuanya dienkripsi dengan algoritma yang sama. Untuk itu kriptanalis menggunakan beberapa cara, seperti mencoba semua kemungkinan kunci secara exhaustive search. Menggunkan analis frekuensi, membuat terkaan berdasarkan informasi yang diketahui,dan sebagainya.
2. Known-plaintext attack
Ini adalah jenis serangan dimana kriptanalis memiliki pasangan plainteks dan cipherteks yang berkoresponden.
3. Chosen-plaintext attack
Serangan jenis ini lebih hebat dari pada known-plaintext attack, karena kriptanalis dapat memilih plainteks yang dimilikinya untuk dienkripsikan, yaitu plainteks-plainteks yang lebih mengarahkan penemuan kunci.
4. Chosen-ciphertext attack
Ini adalah jenis serangan dimana kriptanalis memilih cipherteks untuk didekripsikan dan memiliki akses ke plainteks hasil dekripsi.
5. Chosen-text attack
Ini adalah jenis serangan yang merupakan kombinasi chosen-plaintext attack dan chosen-chiphertext attack.
3. Berdasarkan teknik yang digunakan dalam menemukan kunci, maka
serangan dapat dibagi menjadi dua, yaitu :

1. Exhaustive attack atau brute force attack
Ini adalah serangan untuk mengungkap plainteks atau kunci dengan menggunakan semua kemungkinan kunci. Diasumsikan kriptanalis mengetahui algoritma kriptografi yang digunakan oleh pengirim pesan. Selain itu kriptanalis memiliki sejumlah cipherteks dan plainteks yang bersesuaian.
2. Analytical attack
Pada jenis serangan ini, kriptanalis tidak mencoba-coba semua kemungkinan kunci tetapi menganalisis kelemahan algoirtma kriptografi untuk mengurangi kemungkinan kunci yang tidak ada. Diasumsikan kriptanalis mengetahui algoritma kriptografi yang digunakan oleh pengirim pesan. Analisis dapat menggunakan pendekatan matematik dan statistik dalam rangka menemukan kunci.
3. Related-key attack
Kriptanalis memiliki cipherteks yang dienkripsi dengan dua kunci berbeda. Kriptanalis tidak mengetahui kedua kunci tersebut namun ia mengetahui hubungan antara kedua kunci, misalnya mengetahui kedua kunci hanya berbeda 1 bit.
4. Rubber-hose cryptanalysis
Ini mungkin jenis serangan yang paling ekstrim dan paling efektif. Penyerang mengancam, mengirim surat gelap, atau melakukan penyiksaan sampai orang yang memegang kunci memberinya kunci untuk mendekripsi pesan.
  






Senin, 07 Mei 2012

Task 5 Dynamic Routing

Download Task 5 disini


Dynamic Routing
Dynamic routing protocol sendiri didefinisikan sebagai routing protocol yang memungkinkan router-router yang dikonfigurasi dapat saling bertukar informasi routing secara dinamis.


Perbedaan distance vector dan link state
  • Distance vector routing protocol memilih jalan langsung yang terdekat
  • Link State routing protocols akan memilih jalur yang mempunyai media paling besar
       Type dynamic route
       Routing Information Protocol (RIP) v1
       Routing Information Protocol (RIP) v2
       EIGRP (Enhanced Interior Gateway Routing Protocol)
       OSPF (Open Shortest Path First)


       Routing Information Protocol (RIP) v1 dan v2
       RIP v1 merupakan classful routing protocol
       classful routing protocol, informasi subnet mask tidak disertakan dalam routing updates
       RIP v2 adalah classless routing protocol.
       classless routing protocol, informasi subnet mask disertakan pada routing updates.


       KARAKTERISTIK RIP
  1.        RIP termasuk routing protocol berjenis distance vector.
  2.        RIP menggunakan hop count sebagai metric untuk menentukan best path.
  3.        Network dengan hop count yang bernilai lebih dari 15 dianggap sebagai unreachable network.
  4.        Routing update messages disebarkan setiap 30 detik.
  5.        RIP memiliki administrative distance (AD) sebesar 120.
       Enhanced Interior Routing Protocol (EIGRP)
       Salah satu routing protocol yang bersifat proprietary dari Cisco System yang di rilis pada tahun 1992.  Disebut sebagai proprietary karena routing protocol EIGRP ini hanya bisa digunakan sesama router cisco, tidak untuk router yang lain.
       
       KARAKTERISTIK EIGRP
       Reliable Transport Protocol (RTP)
       Pengiriman paket yang terjamin dan terurut kepada semua neighbour
Bounded Updates
Mengirim update ketika metric untuk rute berubah jadi EIGRP mengirim penambahan update ketika terjadi perubahan rute ke tujuan, daripada mengirim semua isi routing table.
Diffusing Update Algorithm (DUAL)
Memilih jalur dengan cost paling rendah dan bebas looping untuk mencapai destination
Establishing Adjacencies
Mengirimkan informasi hanya ketika ada penambahan neighbour baru
Neighbour and Topology Tables

OSPF (Open Shortest Path First)
OSPF adalah protokol routing tanpa kelas (classless) yang menggunakan konsep area untuk skalabilitas.
Menggunakan protokol routing interior dengan algoritma link-state

KARAKTERISTIK OSPF
Protokol routing link-state
Merupakan open standard protokol  routing yang dijelaskan di RFC (Request for Comments) 2328 oleh Internet Engineering Task Force
Menggunakan algoritma SPF untuk menghitung cost terendah
Update routing dilakukan secara floaded saat terjadi perubahan topologi jaringan





       




Rabu, 02 Mei 2012

Konfigurasi Static Routing


Download Task 4 disini


Proses Routing adalah sebuah proses agar router tahu bagaimana dan kemana sebuah paket harus diteruskan. Router mikrotik merupakan salah satu router yang cukup handal dalam merouting jaringan.

Selasa, 01 Mei 2012

Jaringan Berbasis VLAN


Download Task 3 VLAN disini



   1. Definisi VLAN
Virtual Local Area Network (VLAN) adalah metode untuk menciptakan jaringan-jaringan yang secara logika tersusun sendiri-sendiri. VLAN sendiri berada dalam jaringan Local Area Network (LAN), sehingga dalam jaringan (LAN) bisa terdapat satu atau lebih VLAN. Dengan demikian kita dapat mengambil kesimpulan bahwa dalam dalam suatu jaringan, kita dapat membuat lagi satu atau lebih jaringan (jaringan di dalam jaringan).
Konfigurasi VLAN itu sendiri dilakukan melalui perangkat lunak (software), sehingga walaupun komputer tersebut berpindah tempat, tetapi ia tetap berada pada jaringan VLAN yang sama.
   2Manfaat VLAN
Beberapa manfaat VLAN adalah :
1.      Performance.
VLAN mampu mengurangi jumlah data yang dikirim ke tujuan yang tidak perlu. Sehingga lalu lintas data yang terjadi di jaringan tersebut dengan sendirinya akan berkurang.
2.      Mempermudah Administrator Jaringan.
Setiap kali komputer berpindah tempat, maka komputer tersebut harus di konfigurasi ulang agar mampu berkomunikasi dengan jaringan dimana komputer itu berada. Hal ini membuat komputer tersebut tidak dapat dioperasikan langsung setelah di pindahkan. Jaringan dengan Prinsip VLAN bisa meminimalkan atau bahkan menghapus langkah ini karena pada dasarnya ia tetap berada pada jaringan yang sama.
3.      Mengurangi biaya.
Dengan berpindahnya lokasi, maka seperti hal nya diatas, akan menyebabkan biaya instalasi ulang. Dalam jaringan yang menggunakan VLAN, hal ini dapat diminimallisira atau dihapuskan.
4.      Keamanan
VLAN bisa membatasi Pengguna yang bisa mengakses suatu data., sehingga mengurangi kemungkinan terjadinya penyalahgunaan hak akses.